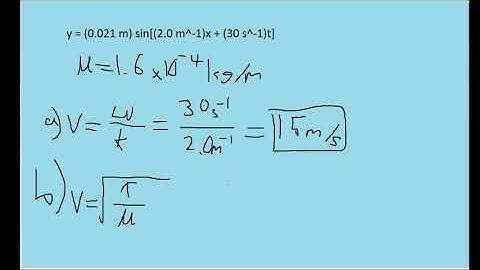
A transverse periodic wave on a string with a linear mass density of 0.200 kg/m is described

Tonton & Download Video Musik Gratis

⬇ DOWNLOAD NOW
Kalau muncul iklan pop-up, tutup lalu klik tombol kembali

Download lagu A transverse periodic wave on a string with a linear mass density of 0.200 kg/m is described secara gratis hanya untuk keperluan promosi. Dukung artis favorit kamu dengan membeli musik original di iTunes atau platform resmi lainnya.