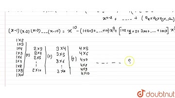
The coefficient of x ^(8) in the polynomial (x-1) (x-2) (x-3) ….. (x-10) is : | 12 | SEQUENCE A...

Tonton & Download Video Musik Gratis

⬇ DOWNLOAD NOW
Kalau muncul iklan pop-up, tutup lalu klik tombol kembali

Download lagu The coefficient of x ^(8) in the polynomial (x-1) (x-2) (x-3) ….. (x-10) is : | 12 | SEQUENCE A... secara gratis hanya untuk keperluan promosi. Dukung artis favorit kamu dengan membeli musik original di iTunes atau platform resmi lainnya.