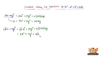
How to expand using the identity ''(a-b)2 ==a2+b2-2ab" ?

Tonton & Download Video Musik Gratis

⬇ DOWNLOAD NOW
Kalau muncul iklan pop-up, tutup lalu klik tombol kembali

Download lagu How to expand using the identity ''(a-b)2 ==a2+b2-2ab" ? secara gratis hanya untuk keperluan promosi. Dukung artis favorit kamu dengan membeli musik original di iTunes atau platform resmi lainnya.