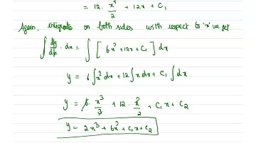
Integration - Chapter 9 - Exercise 9B - Problem 5 - A curve is such that dy/dx=5xroot(x)+2.

Tonton & Download Video Musik Gratis

⬇ DOWNLOAD NOW
Kalau muncul iklan pop-up, tutup lalu klik tombol kembali

Download lagu Integration - Chapter 9 - Exercise 9B - Problem 5 - A curve is such that dy/dx=5xroot(x)+2. secara gratis hanya untuk keperluan promosi. Dukung artis favorit kamu dengan membeli musik original di iTunes atau platform resmi lainnya.