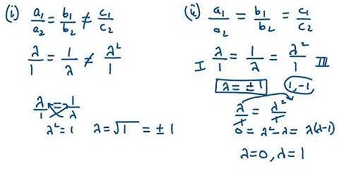
for which value `(s)` at `lambda,` denotes the pair of linear equations `lambdax+y=lambda^2 an

Tonton & Download Video Musik Gratis

⬇ DOWNLOAD NOW
Kalau muncul iklan pop-up, tutup lalu klik tombol kembali

Download lagu for which value `(s)` at `lambda,` denotes the pair of linear equations `lambdax+y=lambda^2 an secara gratis hanya untuk keperluan promosi. Dukung artis favorit kamu dengan membeli musik original di iTunes atau platform resmi lainnya.