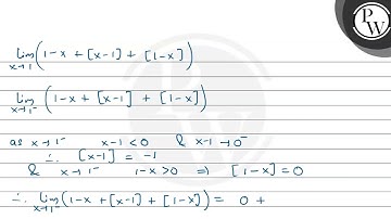
`lim_(x - gt 1) (1- x + [x-1] + [1-x]) =` where [.] denotes the greatest integer function

Tonton & Download Video Musik Gratis

⬇ DOWNLOAD NOW
Kalau muncul iklan pop-up, tutup lalu klik tombol kembali

Download lagu `lim_(x - gt 1) (1- x + [x-1] + [1-x]) =` where [.] denotes the greatest integer function secara gratis hanya untuk keperluan promosi. Dukung artis favorit kamu dengan membeli musik original di iTunes atau platform resmi lainnya.