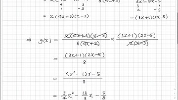
Q6 Chapter 1 Algebraic Methods Mixed exercise Edexcel Pure Mathematics Y2

Tonton & Download Video Musik Gratis

⬇ DOWNLOAD NOW
Kalau muncul iklan pop-up, tutup lalu klik tombol kembali

Download lagu Q6 Chapter 1 Algebraic Methods Mixed exercise Edexcel Pure Mathematics Y2 secara gratis hanya untuk keperluan promosi. Dukung artis favorit kamu dengan membeli musik original di iTunes atau platform resmi lainnya.