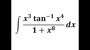
integrate x cube into sin tan inverse x power four upon one plus x power 8 w.r.t x

Tonton & Download Video Musik Gratis

⬇ DOWNLOAD NOW
Kalau muncul iklan pop-up, tutup lalu klik tombol kembali

Download lagu integrate x cube into sin tan inverse x power four upon one plus x power 8 w.r.t x secara gratis hanya untuk keperluan promosi. Dukung artis favorit kamu dengan membeli musik original di iTunes atau platform resmi lainnya.