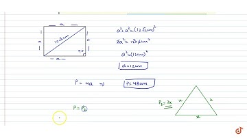
A square and an equilateral triangle have equal perimeters. If the side of the square is 3 units...

Tonton & Download Video Musik Gratis

⬇ DOWNLOAD NOW
Kalau muncul iklan pop-up, tutup lalu klik tombol kembali

Download lagu A square and an equilateral triangle have equal perimeters. If the side of the square is 3 units... secara gratis hanya untuk keperluan promosi. Dukung artis favorit kamu dengan membeli musik original di iTunes atau platform resmi lainnya.