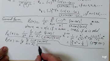
Express the f(x) interms of Legendre's polynomials good example find a,b,c & d (PART-2)

Tonton & Download Video Musik Gratis

⬇ DOWNLOAD NOW
Kalau muncul iklan pop-up, tutup lalu klik tombol kembali

Download lagu Express the f(x) interms of Legendre's polynomials good example find a,b,c & d (PART-2) secara gratis hanya untuk keperluan promosi. Dukung artis favorit kamu dengan membeli musik original di iTunes atau platform resmi lainnya.