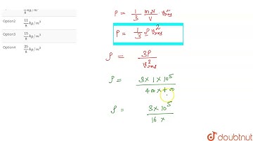
At what temperature. The rms velocity of gas molecules would be double of its value at NTP,if pr...

Tonton & Download Video Musik Gratis

⬇ DOWNLOAD NOW
Kalau muncul iklan pop-up, tutup lalu klik tombol kembali

Download lagu At what temperature. The rms velocity of gas molecules would be double of its value at NTP,if pr... secara gratis hanya untuk keperluan promosi. Dukung artis favorit kamu dengan membeli musik original di iTunes atau platform resmi lainnya.