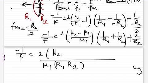
JEE MAIN 2025: Given is a thin convex lens of glass (refractive index μ) and each slop havingradius

Tonton & Download Video Musik Gratis

⬇ DOWNLOAD NOW
Kalau muncul iklan pop-up, tutup lalu klik tombol kembali

Download lagu JEE MAIN 2025: Given is a thin convex lens of glass (refractive index μ) and each slop havingradius secara gratis hanya untuk keperluan promosi. Dukung artis favorit kamu dengan membeli musik original di iTunes atau platform resmi lainnya.