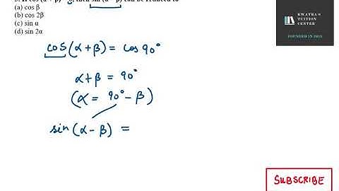
If `cot (alpha + beta) = 0`, then `sin (alpha + 2 beta)` is equal to

Tonton & Download Video Musik Gratis

⬇ DOWNLOAD NOW
Kalau muncul iklan pop-up, tutup lalu klik tombol kembali

Download lagu If `cot (alpha + beta) = 0`, then `sin (alpha + 2 beta)` is equal to secara gratis hanya untuk keperluan promosi. Dukung artis favorit kamu dengan membeli musik original di iTunes atau platform resmi lainnya.