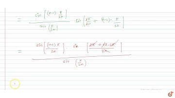
The value of `sin pi/n + sin (3pi)/n+ sin (5pi)/n+...` to n terms is equal to

Tonton & Download Video Musik Gratis

⬇ DOWNLOAD NOW
Kalau muncul iklan pop-up, tutup lalu klik tombol kembali

Download lagu The value of `sin pi/n + sin (3pi)/n+ sin (5pi)/n+...` to n terms is equal to secara gratis hanya untuk keperluan promosi. Dukung artis favorit kamu dengan membeli musik original di iTunes atau platform resmi lainnya.