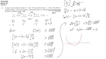
HKDSE 2014 Maths Core Paper 1 Q16: Arithmetic Sequence 等差數列、Quadratic Inequalities 二次不等式

Tonton & Download Video Musik Gratis

⬇ DOWNLOAD NOW
Kalau muncul iklan pop-up, tutup lalu klik tombol kembali

Download lagu HKDSE 2014 Maths Core Paper 1 Q16: Arithmetic Sequence 等差數列、Quadratic Inequalities 二次不等式 secara gratis hanya untuk keperluan promosi. Dukung artis favorit kamu dengan membeli musik original di iTunes atau platform resmi lainnya.