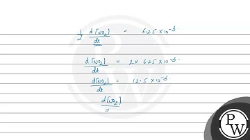
Assertion (A): For the reaction, \(\mathrm{N}_2+\mathrm{O}_2 \rightleftharpoons 2 \mathrm{NO}\),....

Tonton & Download Video Musik Gratis

⬇ DOWNLOAD NOW
Kalau muncul iklan pop-up, tutup lalu klik tombol kembali

Download lagu Assertion (A): For the reaction, \(\mathrm{N}_2+\mathrm{O}_2 \rightleftharpoons 2 \mathrm{NO}\),.... secara gratis hanya untuk keperluan promosi. Dukung artis favorit kamu dengan membeli musik original di iTunes atau platform resmi lainnya.