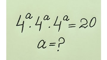
Indian l can you solve this? l A very nice exponential problem l Olympiad Math

Tonton & Download Video Musik Gratis

⬇ DOWNLOAD NOW
Kalau muncul iklan pop-up, tutup lalu klik tombol kembali

Download lagu Indian l can you solve this? l A very nice exponential problem l Olympiad Math secara gratis hanya untuk keperluan promosi. Dukung artis favorit kamu dengan membeli musik original di iTunes atau platform resmi lainnya.