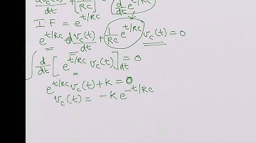
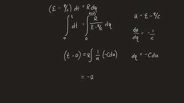
RC circuit differential equation | Lecture 9 | Differential Equations for Engineers

Tonton & Download Video Musik Gratis

⬇ DOWNLOAD NOW
Kalau muncul iklan pop-up, tutup lalu klik tombol kembali

Download lagu RC circuit differential equation | Lecture 9 | Differential Equations for Engineers secara gratis hanya untuk keperluan promosi. Dukung artis favorit kamu dengan membeli musik original di iTunes atau platform resmi lainnya.