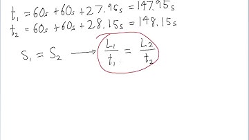
In 1 km races, runner 1 on track 1 (with time 2 min, 27.95 s) appears to be faster than runner 2 on

Tonton & Download Video Musik Gratis

⬇ DOWNLOAD NOW
Kalau muncul iklan pop-up, tutup lalu klik tombol kembali

Download lagu In 1 km races, runner 1 on track 1 (with time 2 min, 27.95 s) appears to be faster than runner 2 on secara gratis hanya untuk keperluan promosi. Dukung artis favorit kamu dengan membeli musik original di iTunes atau platform resmi lainnya.