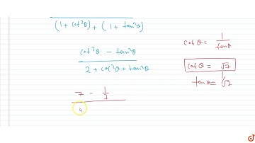
RD Sharma Class 10 EX 10.1 Q 20: If cot theta=3/4, prove √(sec theta- cosec theta/sec theta+cosec th

Tonton & Download Video Musik Gratis

⬇ DOWNLOAD NOW
Kalau muncul iklan pop-up, tutup lalu klik tombol kembali

Download lagu RD Sharma Class 10 EX 10.1 Q 20: If cot theta=3/4, prove √(sec theta- cosec theta/sec theta+cosec th secara gratis hanya untuk keperluan promosi. Dukung artis favorit kamu dengan membeli musik original di iTunes atau platform resmi lainnya.