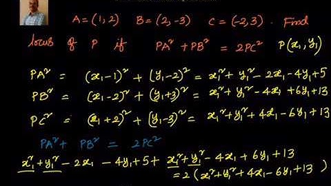
Locus chapter ,PA^2+PB^2=2PC^2 find the locus of p

Tonton & Download Video Musik Gratis

⬇ DOWNLOAD NOW
Kalau muncul iklan pop-up, tutup lalu klik tombol kembali

Download lagu Locus chapter ,PA^2+PB^2=2PC^2 find the locus of p secara gratis hanya untuk keperluan promosi. Dukung artis favorit kamu dengan membeli musik original di iTunes atau platform resmi lainnya.