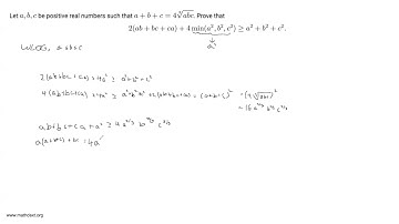
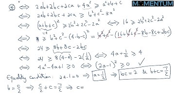
USAMO Q1 (USAJMO Q2) 2018 | Math Olympiad Training

Tonton & Download Video Musik Gratis

⬇ DOWNLOAD NOW
Kalau muncul iklan pop-up, tutup lalu klik tombol kembali

Download lagu USAMO Q1 (USAJMO Q2) 2018 | Math Olympiad Training secara gratis hanya untuk keperluan promosi. Dukung artis favorit kamu dengan membeli musik original di iTunes atau platform resmi lainnya.