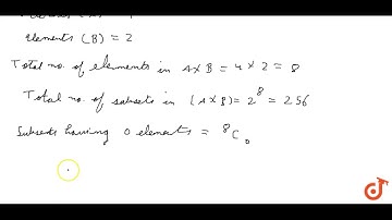
Let A and B be two sets containing four and two elements, respectively. Then, the number of subse...

Tonton & Download Video Musik Gratis

⬇ DOWNLOAD NOW
Kalau muncul iklan pop-up, tutup lalu klik tombol kembali

Download lagu Let A and B be two sets containing four and two elements, respectively. Then, the number of subse... secara gratis hanya untuk keperluan promosi. Dukung artis favorit kamu dengan membeli musik original di iTunes atau platform resmi lainnya.