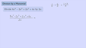
Dividing an Algebraic Expression by a Monomial - Example 2 | Mathematics | Alloprof

Tonton & Download Video Musik Gratis

⬇ DOWNLOAD NOW
Kalau muncul iklan pop-up, tutup lalu klik tombol kembali

Download lagu Dividing an Algebraic Expression by a Monomial - Example 2 | Mathematics | Alloprof secara gratis hanya untuk keperluan promosi. Dukung artis favorit kamu dengan membeli musik original di iTunes atau platform resmi lainnya.