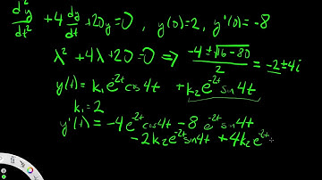
Using Eigenvalues and Eigenvectors to Analyze a 2nd Order Ordinary Differential Equation

Tonton & Download Video Musik Gratis

⬇ DOWNLOAD NOW
Kalau muncul iklan pop-up, tutup lalu klik tombol kembali

Download lagu Using Eigenvalues and Eigenvectors to Analyze a 2nd Order Ordinary Differential Equation secara gratis hanya untuk keperluan promosi. Dukung artis favorit kamu dengan membeli musik original di iTunes atau platform resmi lainnya.