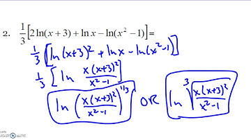
4.4 Day 1 Packet Lesson: Logarithms and Natural Log's

Tonton & Download Video Musik Gratis

⬇ DOWNLOAD NOW
Kalau muncul iklan pop-up, tutup lalu klik tombol kembali

Download lagu 4.4 Day 1 Packet Lesson: Logarithms and Natural Log's secara gratis hanya untuk keperluan promosi. Dukung artis favorit kamu dengan membeli musik original di iTunes atau platform resmi lainnya.