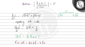
A circle touches both the y-axis and the line x+y=0. Then the locus of its centre is _________

Tonton & Download Video Musik Gratis

⬇ DOWNLOAD NOW
Kalau muncul iklan pop-up, tutup lalu klik tombol kembali

Download lagu A circle touches both the y-axis and the line x+y=0. Then the locus of its centre is _________ secara gratis hanya untuk keperluan promosi. Dukung artis favorit kamu dengan membeli musik original di iTunes atau platform resmi lainnya.