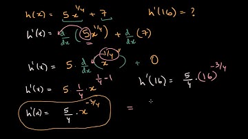
Fractional powers differentiation | Derivative rules | AP Calculus AB | Khan Academy

Tonton & Download Video Musik Gratis

⬇ DOWNLOAD NOW
Kalau muncul iklan pop-up, tutup lalu klik tombol kembali

Download lagu Fractional powers differentiation | Derivative rules | AP Calculus AB | Khan Academy secara gratis hanya untuk keperluan promosi. Dukung artis favorit kamu dengan membeli musik original di iTunes atau platform resmi lainnya.