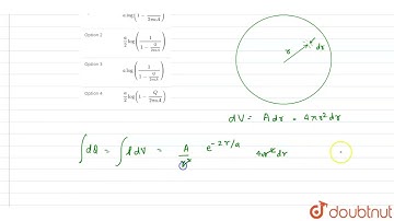
Charge is distributed within a sphere of radius R with a volume charge density ρ(r)=Ar2e−2r/a , wher

Tonton & Download Video Musik Gratis

⬇ DOWNLOAD NOW
Kalau muncul iklan pop-up, tutup lalu klik tombol kembali

Download lagu Charge is distributed within a sphere of radius R with a volume charge density ρ(r)=Ar2e−2r/a , wher secara gratis hanya untuk keperluan promosi. Dukung artis favorit kamu dengan membeli musik original di iTunes atau platform resmi lainnya.