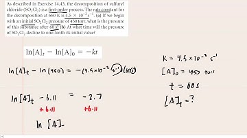
A Question from Mastering Using first order integrated rate law (SO2Cl2 decomposition)

Tonton & Download Video Musik Gratis

⬇ DOWNLOAD NOW
Kalau muncul iklan pop-up, tutup lalu klik tombol kembali

Download lagu A Question from Mastering Using first order integrated rate law (SO2Cl2 decomposition) secara gratis hanya untuk keperluan promosi. Dukung artis favorit kamu dengan membeli musik original di iTunes atau platform resmi lainnya.