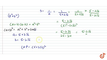
If a = 5 + 2√6 and b = 1/a, then what will be the value of a^2+b^2 ? - [Learn within 90 seconds]

Tonton & Download Video Musik Gratis

⬇ DOWNLOAD NOW
Kalau muncul iklan pop-up, tutup lalu klik tombol kembali

Download lagu If a = 5 + 2√6 and b = 1/a, then what will be the value of a^2+b^2 ? - [Learn within 90 seconds] secara gratis hanya untuk keperluan promosi. Dukung artis favorit kamu dengan membeli musik original di iTunes atau platform resmi lainnya.