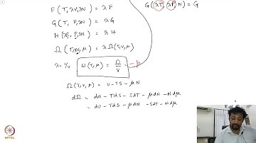
Lecture 09-Extensive and intensive variables; gibbs duhem relation; euler theorem; maxwell relations

Tonton & Download Video Musik Gratis

⬇ DOWNLOAD NOW
Kalau muncul iklan pop-up, tutup lalu klik tombol kembali

Download lagu Lecture 09-Extensive and intensive variables; gibbs duhem relation; euler theorem; maxwell relations secara gratis hanya untuk keperluan promosi. Dukung artis favorit kamu dengan membeli musik original di iTunes atau platform resmi lainnya.