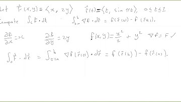
Lecture 2011.07.27 Part 07/10 Anti-derivative of a Vector Field: Example 1

Tonton & Download Video Musik Gratis

⬇ DOWNLOAD NOW
Kalau muncul iklan pop-up, tutup lalu klik tombol kembali

Download lagu Lecture 2011.07.27 Part 07/10 Anti-derivative of a Vector Field: Example 1 secara gratis hanya untuk keperluan promosi. Dukung artis favorit kamu dengan membeli musik original di iTunes atau platform resmi lainnya.