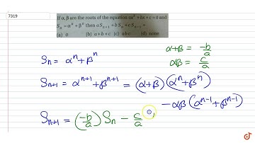
If `alpha` and `beta` are the roots of the equation `x^2-ax+b=0` and `A_n=alpha^n+beta^n`,

Tonton & Download Video Musik Gratis

⬇ DOWNLOAD NOW
Kalau muncul iklan pop-up, tutup lalu klik tombol kembali

Download lagu If `alpha` and `beta` are the roots of the equation `x^2-ax+b=0` and `A_n=alpha^n+beta^n`, secara gratis hanya untuk keperluan promosi. Dukung artis favorit kamu dengan membeli musik original di iTunes atau platform resmi lainnya.