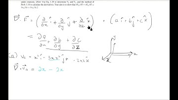
Griffiths Electrodynamics problem 1.15 | introduction to electrodynamics by dj Griffiths

Tonton & Download Video Musik Gratis

⬇ DOWNLOAD NOW
Kalau muncul iklan pop-up, tutup lalu klik tombol kembali

Download lagu Griffiths Electrodynamics problem 1.15 | introduction to electrodynamics by dj Griffiths secara gratis hanya untuk keperluan promosi. Dukung artis favorit kamu dengan membeli musik original di iTunes atau platform resmi lainnya.