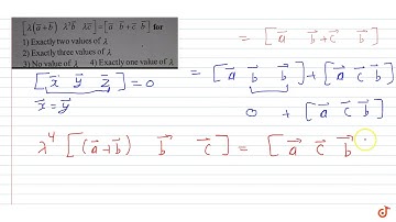
If `bar(a),bar(b),bar(c)` are non - coplanar vectors, then show the vectors `-bar(a)+3bar

Tonton & Download Video Musik Gratis

⬇ DOWNLOAD NOW
Kalau muncul iklan pop-up, tutup lalu klik tombol kembali

Download lagu If `bar(a),bar(b),bar(c)` are non - coplanar vectors, then show the vectors `-bar(a)+3bar secara gratis hanya untuk keperluan promosi. Dukung artis favorit kamu dengan membeli musik original di iTunes atau platform resmi lainnya.