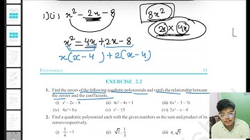
Find the zeroes of the quadratic polynomial 𝑥^2 - 2𝑥 - 8 and verify the relationship between the ze

Tonton & Download Video Musik Gratis

⬇ DOWNLOAD NOW
Kalau muncul iklan pop-up, tutup lalu klik tombol kembali

Download lagu Find the zeroes of the quadratic polynomial 𝑥^2 - 2𝑥 - 8 and verify the relationship between the ze secara gratis hanya untuk keperluan promosi. Dukung artis favorit kamu dengan membeli musik original di iTunes atau platform resmi lainnya.