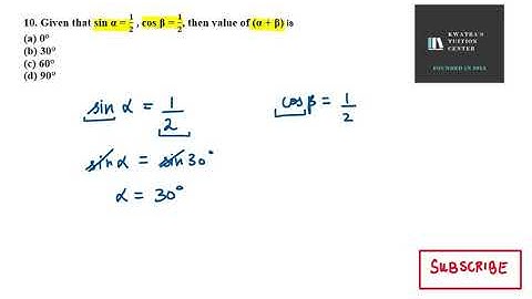
MCQ - Given sin α = 1/2 and cos β = 1/2 , then value of (α + β) is - Teachoo

Tonton & Download Video Musik Gratis

⬇ DOWNLOAD NOW
Kalau muncul iklan pop-up, tutup lalu klik tombol kembali

Download lagu MCQ - Given sin α = 1/2 and cos β = 1/2 , then value of (α + β) is - Teachoo secara gratis hanya untuk keperluan promosi. Dukung artis favorit kamu dengan membeli musik original di iTunes atau platform resmi lainnya.