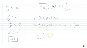
The set of values of \( x \) satisfying simultaneously the inequalities \( \frac{\sqrt{(x-8)(2-x...

Tonton & Download Video Musik Gratis

⬇ DOWNLOAD NOW
Kalau muncul iklan pop-up, tutup lalu klik tombol kembali

Download lagu The set of values of \( x \) satisfying simultaneously the inequalities \( \frac{\sqrt{(x-8)(2-x... secara gratis hanya untuk keperluan promosi. Dukung artis favorit kamu dengan membeli musik original di iTunes atau platform resmi lainnya.