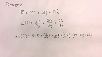
What Is The Mathematical Expression For Wind Divergence? - Weather Watchdog

Tonton & Download Video Musik Gratis

⬇ DOWNLOAD NOW
Kalau muncul iklan pop-up, tutup lalu klik tombol kembali

Download lagu What Is The Mathematical Expression For Wind Divergence? - Weather Watchdog secara gratis hanya untuk keperluan promosi. Dukung artis favorit kamu dengan membeli musik original di iTunes atau platform resmi lainnya.