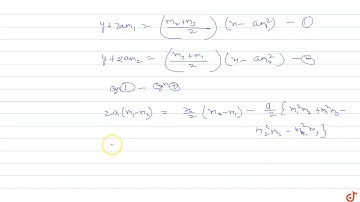
If the normals at two points \( P \) and \( Q \) of a parabola \( y^{2}=4 a x \) intersect at a ...

Tonton & Download Video Musik Gratis

⬇ DOWNLOAD NOW
Kalau muncul iklan pop-up, tutup lalu klik tombol kembali

Download lagu If the normals at two points \( P \) and \( Q \) of a parabola \( y^{2}=4 a x \) intersect at a ... secara gratis hanya untuk keperluan promosi. Dukung artis favorit kamu dengan membeli musik original di iTunes atau platform resmi lainnya.