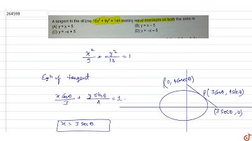
The tangent to the ellipse 16 x^2+9 y^2=144, making equal intercepts on both the axes, is (a) y=x...

Tonton & Download Video Musik Gratis

⬇ DOWNLOAD NOW
Kalau muncul iklan pop-up, tutup lalu klik tombol kembali

Download lagu The tangent to the ellipse 16 x^2+9 y^2=144, making equal intercepts on both the axes, is (a) y=x... secara gratis hanya untuk keperluan promosi. Dukung artis favorit kamu dengan membeli musik original di iTunes atau platform resmi lainnya.