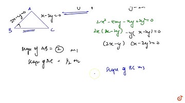
Each of the 2 equal sides of an isosceles triangle is twice as large as the third side.

Tonton & Download Video Musik Gratis

⬇ DOWNLOAD NOW
Kalau muncul iklan pop-up, tutup lalu klik tombol kembali

Download lagu Each of the 2 equal sides of an isosceles triangle is twice as large as the third side. secara gratis hanya untuk keperluan promosi. Dukung artis favorit kamu dengan membeli musik original di iTunes atau platform resmi lainnya.