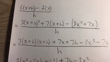
Find the Difference Quotient Using the “h” Definition and the “x-a” Definition

Tonton & Download Video Musik Gratis

⬇ DOWNLOAD NOW
Kalau muncul iklan pop-up, tutup lalu klik tombol kembali

Download lagu Find the Difference Quotient Using the “h” Definition and the “x-a” Definition secara gratis hanya untuk keperluan promosi. Dukung artis favorit kamu dengan membeli musik original di iTunes atau platform resmi lainnya.