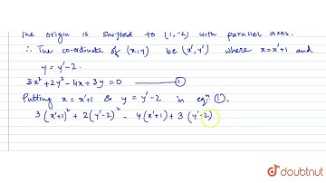
Transform the equation 2 x^2+y^2-4 x+4 y=0 to parallel axes when the origin is shifted to the poi...

Tonton & Download Video Musik Gratis

⬇ DOWNLOAD NOW
Kalau muncul iklan pop-up, tutup lalu klik tombol kembali

Download lagu Transform the equation 2 x^2+y^2-4 x+4 y=0 to parallel axes when the origin is shifted to the poi... secara gratis hanya untuk keperluan promosi. Dukung artis favorit kamu dengan membeli musik original di iTunes atau platform resmi lainnya.