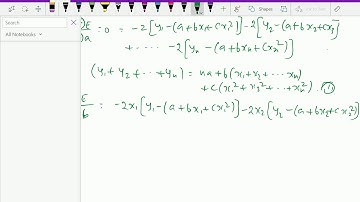
Numerical methods and analysis : - ( Fitting a parabola ; Solving problems ) - 10.

Tonton & Download Video Musik Gratis

⬇ DOWNLOAD NOW
Kalau muncul iklan pop-up, tutup lalu klik tombol kembali

Download lagu Numerical methods and analysis : - ( Fitting a parabola ; Solving problems ) - 10. secara gratis hanya untuk keperluan promosi. Dukung artis favorit kamu dengan membeli musik original di iTunes atau platform resmi lainnya.