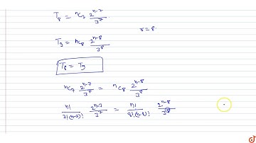
If the coefficients of x^7 and x^8 in (2+x/3)^n are equal, then n is (1) 56 (2) 55 (3) 45

Tonton & Download Video Musik Gratis

⬇ DOWNLOAD NOW
Kalau muncul iklan pop-up, tutup lalu klik tombol kembali

Download lagu If the coefficients of x^7 and x^8 in (2+x/3)^n are equal, then n is (1) 56 (2) 55 (3) 45 secara gratis hanya untuk keperluan promosi. Dukung artis favorit kamu dengan membeli musik original di iTunes atau platform resmi lainnya.