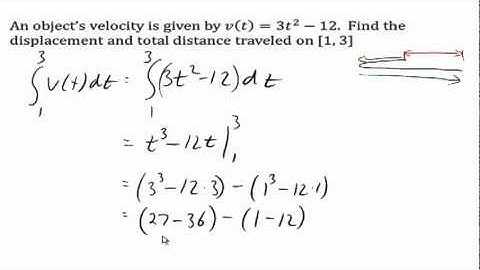
The displacement in meters of a particle moving in a straight line is given by s=t^2-9t+12 where t i

Tonton & Download Video Musik Gratis

⬇ DOWNLOAD NOW
Kalau muncul iklan pop-up, tutup lalu klik tombol kembali

Download lagu The displacement in meters of a particle moving in a straight line is given by s=t^2-9t+12 where t i secara gratis hanya untuk keperluan promosi. Dukung artis favorit kamu dengan membeli musik original di iTunes atau platform resmi lainnya.