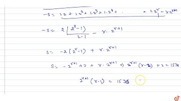
If `[.]` denotes the greatest integer function and `x,yepsilonRr,"n" epsilonN`

Tonton & Download Video Musik Gratis

⬇ DOWNLOAD NOW
Kalau muncul iklan pop-up, tutup lalu klik tombol kembali

Download lagu If `[.]` denotes the greatest integer function and `x,yepsilonRr,"n" epsilonN` secara gratis hanya untuk keperluan promosi. Dukung artis favorit kamu dengan membeli musik original di iTunes atau platform resmi lainnya.