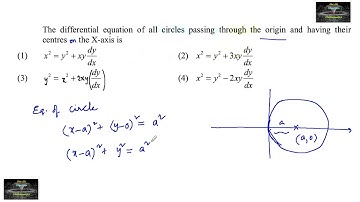
Find the differential equation of the family of circles passing through the points (a,0) and  (-a,0)

Tonton & Download Video Musik Gratis

⬇ DOWNLOAD NOW
Kalau muncul iklan pop-up, tutup lalu klik tombol kembali

Download lagu Find the differential equation of the family of circles passing through the points (a,0) and  (-a,0) secara gratis hanya untuk keperluan promosi. Dukung artis favorit kamu dengan membeli musik original di iTunes atau platform resmi lainnya.